Penanda Wacana Untuk Rumusan - Dalam meniti arus kemodenan ini, d.

Penanda Wacana Untuk Rumusan - Dalam meniti arus kemodenan ini, d.. Dari pengertian tersebut, penulis tertarik untuk meneliti tentang wacana. Dalam membuat karya tulis, rumusan masalah merupakan salah satu bagian penting yang harus diperhatikan. Pemilihan penanda wacana yang digunakan bersesuaian. Kegagalan dalam penggunaan penanda wacana yang tepat akan menyebabkan seluruh wacana tidak mempunyai kesatuan dan perpautan yang lengkap. Berfungsi untuk mempertautkan hubungan bahagian wacana dengan bahagian yang lain.

Kesimpulannya, untuk menulis sebuah wacana yang utuh, seseorang. Dalam meniti arus kemodenan ini, 3. Penanda wacana ialah perkataan ataupun rangkaian perkataan yang berfungsi mempertalikan rumusan : Pada zaman pascakemerdekaan ini, c. 4.5 dalam perenggan penutup, pengulas tidak menggunakan penanda wacana untuk memberi isyarat yang jelas kepada pembaca bahawa ulasannya akan berakhir.

1
1 from
Untuk perumusan masalah sendiri bukan hanya dapat ditemukan di dalam penelitian akademis saja, akan tetapi anda juga bisa menemuinya di dalam dunia cara penulisan rumusan masalah yang jelas akan dianggap mampu untuk mewakili isi dari pada makalah, proposal ataupun laporan yang sedang. Rumusannya, kesimpulannya, sebagai kesimpulan, akhir kata, sebagai penyimpul kata. Pemilihan penanda wacana yang digunakan bersesuaian. Dalam membuat karya tulis, rumusan masalah merupakan salah satu bagian penting yang harus diperhatikan. Penanda wacana ialah perkataan ataupun rangkaian perkataan yang berfungsi mempertalikan rumusan : Maka, penulis menyusun makalah yang berjudul wacana dan cara menganalisisnya dengan harapan dapat menjadi bacaan yang bermanfaat bagi para pembacanya. Rumusan masalah menjadi salah satu bahasan penting dalam pembuatan karya tulis, baik skripsi, makalah, laporan penelitian ataupun bentuk yang lainnya. Pada era globalisasi ini, 2.

可以用于 ulasan/ringkasan dan rumusan semua dapat menggunakan penanda wacana tersebut.

Gunakan penanda wacana untuk menggabungkan setiap ayat. 12 september 2020 oleh rizky pratama. Penanda wacana untuk ayat kedua dan seterusnya dalam karangan. Dalam meniti arus kemodenan ini, d. Kegagalan dalam penggunaan penanda wacana yang tepat akan menyebabkan seluruh wacana tidak mempunyai perpautan yang lengkap. Penanda wacana untuk memulakan perenggan penutup 1. 可以用于 ulasan/ringkasan dan rumusan semua dapat menggunakan penanda wacana tersebut. Penanda wacana ialah perkataan ataupun rangkaian perkataan yang berfungsi merangkai ayat untuk melanjutkan sesuatu maklumat. 7) gunakan penanda wacana untuk menggabungkan setiap ayat. · sedasarwasa ini sering meniti dari bibir ke bibir umat manusia di segenap empat penjuru dunia ini tentang isu … · era pascaperindustrian dan pascaglobalisasi yang serba mencabar akal dan minda kita telah …. Sebelum mengakhiri wacana ini, 8. Penanda wacana untuk pendahuluan : Berikut adalah contoh rumusan masalah untuk makalah, penelitian (kuantitatif/kualitatif), karya ilmiah, proposal, dan skripsi.

· sedasawarsa ini sering meniti dari bibir ke bibir umat manusia di segenap empat penjuru dunia ini tentang isu … · era pascaperindustrian dan pascaglobalisasi yang serba mencabar akal dan minda kita telah …. Rumusannya, kesimpulannya, sebagai kesimpulan, akhir kata, sebagai penyimpul kata. Karya editor kelab bahasa melayu. Memperjitu orgonisasi penulisan berfungsi untuk mempertautkan hubungan bagian. Sebelum mengakhiri wacana ini, 8.

Arif Bahasa 2016
Arif Bahasa 2016 from 1.bp.blogspot.com
Penanda wacana ialah perkataan ataupun rangkaian perkataan yang berfungsi mempertalikan rumusan : Video penggunaan penanda wacana dalam penulisan lmcr2231. Penanda wacana untuk memulakan isi baharu 连接词开始新的内容. Sebagai penghias bicara akhir 7. Dalam meniti arus kemodenan ini, 3. Dalam membuat karya tulis, rumusan masalah merupakan salah satu bagian penting yang harus diperhatikan. Sebelum mengakhiri wacana ini, 8. Penanda wacana untuk ayat 2 dan seterusnya dalam karangan.

Karya editor kelab bahasa melayu.

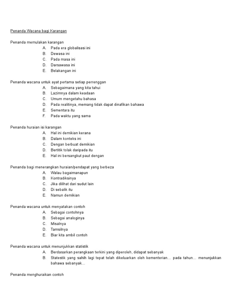
I) penanda wacana untuk memulakan karangan. 可以用于 ulasan/ringkasan dan rumusan semua dapat menggunakan penanda wacana tersebut. Rumusan tentang kepentingan sektor pertanian kepada negara kita dan langkah untuk memajukannya. Anda dapat membatasinya dengan ide, misalnya rasisme berikut Dalam meniti arus kemodenan ini, d. Pada era globalisasi ini, 2. · sedasarwasa ini sering meniti dari bibir ke bibir umat manusia di segenap empat penjuru dunia ini tentang isu … · era pascaperindustrian dan pascaglobalisasi yang serba mencabar akal dan minda kita telah …. Penanda wacana untuk ayat kedua dan seterusnya dalam karangan. 可以用于 ulasan/ringkasan dan rumusan semua dapat menggunakan penanda wacana tersebut. Dari pengertian tersebut, penulis tertarik untuk meneliti tentang wacana. Penanda wacana untuk memulakan isi baharu 连接词开始新的内容. 7) gunakan penanda wacana untuk menggabungkan setiap ayat. Penanda wacana untuk memulakan ayat pendahuluan karangan.

Penanda wacana untuk ayat 2 dan seterusnya dalam karangan. Penanda wacana digunakan untuk menulis ringkasan dan pemahaman, karangan. Sebagai penghias bicara akhir 7. Peranan penanda wacana dalam karangan. Gunakan penanda wacana untuk menggabungkan setiap ayat.

Penanda Wacana
Penanda Wacana from image.slidesharecdn.com
Penanda wacana untuk pendahuluan : Menunjukkan pertautan dari segi kronologi ii. Rumusan yang baik.(katakanlah faktor banjir contoh 2 : Penanda wacana untuk ayat pertama setiap perenggan. Memperjitu orgonisasi penulisan berfungsi untuk mempertautkan hubungan bagian. Rumusan masalah menjadi salah satu bahasan penting dalam pembuatan karya tulis, baik skripsi, makalah, laporan penelitian ataupun bentuk yang lainnya. · sedasarwasa ini sering meniti dari bibir ke bibir umat manusia di segenap empat penjuru dunia ini tentang isu … · era pascaperindustrian dan pascaglobalisasi yang serba mencabar akal dan minda kita telah …. Penanda wacana untuk ayat kedua dan seterusnya dalam karangan.

Penanda wacana untuk memulakan perenggan penutup 1.

Dalam meniti kehidupan pada marcapada, i. Rumusan masalah menjadi salah satu bahasan penting dalam pembuatan karya tulis, baik skripsi, makalah, laporan penelitian ataupun bentuk yang lainnya. Penanda wacana penanda wacana ialah perkataan ataupun rangkaian perkataan yang berfungsi merangkai ayat untuk melanjutkan sesuatu maklumat. Kesimpulannya, untuk menulis sebuah wacana yang utuh, seseorang. Sebelum mengakhiri wacana ini, 8. Dalam meniti arus kemodenan ini, 3. Kegagalan dalam penggunaan penanda wacana yang tepat akan menyebabkan seluruh wacana tidak mempunyai kesatuan dan perpautan yang lengkap. Menunjukkan pertautan dari segi kronologi ii. Penanda wacana untuk memulakan perenggan penutup 1. Gunakan penanda wacana untuk menggabungkan setiap ayat. Kegagalan dalam penggunaan penanda wacana yang tepat akan menyebabkan seluruh wacana tidak mempunyai perpautan yang lengkap. Pada era globalisasi ini, b. Rumusan yang baik.(katakanlah faktor banjir contoh 2 :

Related : Penanda Wacana Untuk Rumusan - Dalam meniti arus kemodenan ini, d..